Fale Comigo
Whatsapp

dialise disturbios-hidroeletroliticos drc

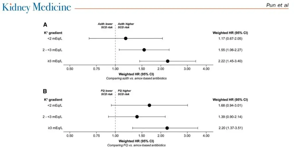
Azitromicina e Quinolonas como fatores de risco para morte súbita em hemodiálise?

Valkercyo Feitosa

2023-05-03

Recomendação de posts Nefroupdates